图像融合:HDR 融合
复制本地路径 | 在线编辑
HDR 放在了上层的目录里面了,毕竟也算是一个比较有热度的研究内容,而且还有许多方面也不仅仅是长短曝光融合这一点。比如还有一些从芯片本身上改进的。
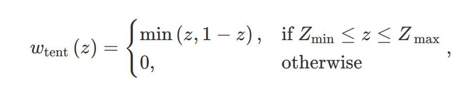
然后,长短曝光融合的话在这里也顺便说一下,他的权重有如下方式:




最后一个 \(t^k\) 表示第 k 张的曝光时间。
HDR 放在了上层的目录里面了,毕竟也算是一个比较有热度的研究内容,而且还有许多方面也不仅仅是长短曝光融合这一点。比如还有一些从芯片本身上改进的。
然后,长短曝光融合的话在这里也顺便说一下,他的权重有如下方式:




最后一个 \(t^k\) 表示第 k 张的曝光时间。