梯度投影融合闪光非闪光
用梯度投影融合闪光非闪光,来自 Wang Hawk 老师在深蓝学院开设的《计算摄影学进阶》课程第五章,质量蛮好的。
现在有同一场景的闪光和非闪光图片,目标是合并,既可以有闪光图片的低噪声,也能避免在闪光图片的高光。是代码我自己实现了,放在 code 目录中。
写给我自己:看录制的视频,很快就能看懂。

解决痛点
闪光非闪光融合有一个用联合双边滤波进行融合的方法(个人笔记),但是这个方法很显著的缺点是:
有的时候闪光和非闪光可能有反射现象,这个时候应该丢掉其中之一,但是联合双边滤波的方法无法做到这一点。比如第一张图时闪光有反射,第二张图时无闪光有反射。


引入梯度解决反射
作者认为,梯度可以帮我们解决反射问题。
非强反射区域,闪光和非闪光梯度应该相似;相反,在强反射区域,闪光和非闪光梯度方向不同。


此时用梯度投影就能够消除反射,如果闪光有反射,那就闪光映射到非闪光,反之亦然。

算法细节
我们拿到两张图片后,计算各自的梯度。如上面所述,在非反射区域,梯度一致,此时更加相信闪光图;在反射区域,则更加相信非闪光图。
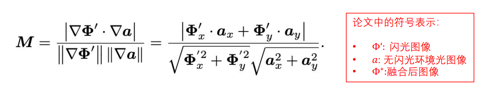
首先计算梯度的相关程度,如下所示:

然后利用这种相关程度做一个加权求和,即越不相关我们就越信任非闪光图片的梯度:
但是还有一个问题:闪光图像容易有过曝的亮点,在这种地方的新的梯度会非常不准确。所以此时我们更信任原始的非闪光梯度。所以还是做一个加权求和,需要用检测闪光图像的亮度进行求权重:
论文中 \(\sigma = 40\),\(\tau_s = 0.9\),需要对 \(I\) 先归一化,最后算出权重后也要归一化以下,最终图像如下:

相当于越亮的地方,我们就越信任原始的非闪光梯度,所以最后我们得到的梯度为:
得到新的梯度后,需要还原图像。这儿其实是一个经典问题,把它当成泊松融合就行:即我们有要融合的图像,这是未知的,和泊松融合一样;我们还有一个原始图像,这里的区别就是:泊松融合那里这个是知道的,但我们这里只知道它的梯度场。
但没有关系,泊松融合的经典公式如下,其中 \(f\) 是最终融合后的图像,\(\mathbf{v}\) 是融合前图像的梯度场,\(\Omega\) 是融合区域(不包含边界),\(\partial \Omega\) 是融合区域边界。

对于 \(\text{div } \mathbf{v}\),其表示对原始图像的梯度场 \(v\) 做散度,因此就是拉普拉斯操作(下面的 \(g\) 是原始图像):
而我们上面一大段操作得到的新的梯度场,就是这里的 \(\mathbf{v}\),即这里的 \(u\) 和 \(v\)。所以 \(\text{div } \mathbf{v}\) 就用上面的第一行的公式即可得到,即梯度 \(u\) 和 \(v\) 分别再做一次行或列的梯度,然后加起来。
之后用泊松融合的公式去求解,其中边界的值就规定是非闪光的图像边界即可。
结果:

其他说明
上面一章中是加权融合闪光非闪光的投影,原论文中也提到有直接投影的,如下面的公式:

这个就是非闪光可能有反射,所以直接一股脑把梯度投影到闪光图上。似乎对于发生反射现象而言,这种做法更好。没有反射现象时,用上一章的加权融合更好。